3. duben 2015
Proudová zatížitelnost vodičů

Tento příspěvek volně navazuje na předešlé články Tvary a klasické typy vodičů vedení VVN a Vysokoteplotní vodiče vedení VVN zabývajícími se venkovními vodiči vedení VVN a bude se věnovat proudovou zatížitelností vodičů na vedení.
Je velmi důležité znát maximální proud, kterým lze daný vodič, případně vedení zatěžovat. A při jeho výpočtu se vychází z následujících úvah.
Bilanční rovnice tepelných výkonů
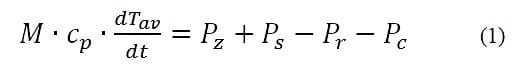
Pro zhodnocení tepelných výkonů a teploty vodiče se nejčastěji využívá následující bilanční diferenciální rovnice, kde součtem všech výkonů (z pravé strany rovnice) je výkon akumulující tepelnou energii ve vodiči:
- M – poměrná hmotnost vodiče (kg/m), která se spočítá dle vztahu
- cp – měrná tepelná kapacita (J∙kg-1∙K-1)
- Tav – je teplota vodiče (°C)
- Pz – Jouleovy ztráty (W/m)
- Ps – výkon dodaný slunečním zářením (W/m)
- Pr – výkon odvedený radiací (W/m)
- Pc – výkon odvedený konvekcí (W/m)
Nejčastěji se zkoumá ustálený stav. To je takový stav, kdy parametry ovlivňující teplotu vodiče jsou konstantní. Jak bude popsáno podrobněji dále, jedná se o tyto parametry: elektrický proud protékající vodičem, rychlost a směr větru ochlazující vodič, sluneční záření dopadající na vodič a okolní teplota. Za předpokladu konstantních parametrů uvedených výše je časová změna teploty vodiče nulová, tím se rovnice (1) zjednoduší, a po úpravách přejde do tvaru:
, což lze vyjádřit také jako:
Na vodič působí i další tepelné výkony. Vodič je například zahříván vlivem koróny nebo ochlazován vypařováním, je-li v kontaktu s vodní párou obsaženou ve vzduchu nebo vodními kapkami. Nicméně oba tyto vlivy jsou zanedbatelné a v praxi se neuvažují.
1. Jouleovy ztráty
Významným tepelným výkonem zahřívající vodič jsou takzvané Jouleovy ztráty, které jsou vyvolané průchodem střídavého provozního proudu Ip tekoucím vodičem a jsou závislé na střídavém odporu vedení Rac. V katalozích lan, ale bývá uveden stejnosměrný odpor při určité teplotě, nejčastěji při teplotě 20°C (Rdc20), což skýtá dva problémy. První je ten, že teplota není oněch 20°C, ale zpravidla vyšší a druhý je, že vodičem teče střídavý proud.
Odpor kovů s rostoucí teplotou stoupá. To jak s teplotou odpor roste, je charakteristické pro každý materiál. Pak lze napsat následující:
- Rdcx a Tdcx – odpory, které počítáme a teplota, při které je počítáme
- b – teplotní součinitel odporu – hliník 4,03·10-3 K-1 a železo 4,5·10-3 K-1
- Rdc20 – stejnosměrný odpor při 20°C (Ω)
To, že vodičem teče střídavý proud a ne stejnosměrný, způsobuje ve vodičích přídavné ztráty, takže střídavý odpor je větší než stejnosměrný. Poměr mezi střídavým a stejnosměrným odporem vyjadřuje koeficient kAC a je vždy větší než 1. Jeho velikost závisí zejména na skinefektu, hysterezních ztrátách, vířivých proudech a proudovém zatížení. Při jeho odvození se vychází z předpokladu, že tepelný výkon vstupující do vodiče musí být při stejné teplotě stejný, ať se jedná o stejnosměrný nebo střídavý proud tekoucí vodičem. Platí tedy:
Výsledný vztah pro Jouleovy ztráty s využitím výše uvedených poznatků a odvození pak je:
2. Výkon dodaný Sluncem
Druhý výkon dodávající teplo vodiči je sluneční záření. Celkové sluneční záření dopadající na zemský povrch, a tedy zahřívající vodič, se skládá ze tří částí. Záření přímé, odražené a difúzní. Bez významné ztráty přesnosti je možné záření odražené a difúzní zanedbat, protože se na celkovém vyhřívání vodiče podílejí v kritických případech maximálně 4 %.
Pro tepelný výkon dodaný sluneční zářením můžeme napsat následující rovnici:
- α – koeficient pohltivosti slunečního záření daným povrchem (-)
- D – průměr vodiče (m)
- Ip – intenzita přímého slunečního záření dopadajícího na kolmou rovinu k směru slunečních paprsků (W/m2)
- ω – úhel mezi osou slunečních paprsků a osou vodiče (rad)
Hodnota koeficientu pohltivosti α, jež je závislá na materiálu vodiče, době provozu a na okolním prostředí, se musí volit. V národním normativním aspektu k platné normě ČSN EN 50341, jež se zabývá návrhem vedení nad 45 kV, se uvažuje velikost α=0,5
Intenzita přímého slunečního záření je závislá na poloze slunce na obloze, která se mění v průběhu dne i během celého roku, dále na zeměpisné šířce místa na Zemi, nadmořské výšce tohoto místa, znečištění atmosféry a v neposlední řadě i na aktuálním počasí (oblačnost, mlha…). Pro podmínky České republiky se celkové sluneční záření Ip volí 1000 W/m2, jak je uvedeno v národním normativním aspektu k ČSN EN 50431. Zajímavostí je, že ČEPS uvažuje pro letní období intenzitu slunečního záření 1200 W/m2 a pouze 400 W/m2 pro zimní období.
Pro úhel ω, který svírají sluneční paprsky s osou vodiče, existují poměrně složité goniometrické vzorce. Tyto vzorce zohledňují měsíc a den v roce, azimut vodiče, zeměpisnou šířku a sluneční čas. S ohledem na bezpečnost návrhu, lze brát nejnepříznivější případ, kdy je sin ω = 1, což platí pro ω=90°. V normě ani národním normativním aspektu se velikost tohoto úhlu nepředepisuje.
3. Výkon odvedený konvekcí
Konvekce ochlazující vodič se dá rozdělit na volnou a nucenou. K volné konvekci dochází při bezvětří, kdy je proudění chladícího média (vzduchu) způsobeno rozdílem teplot vodiče a vzduchu, respektive změnou hustoty vzduchu u vodiče během jeho ohřívání. Na rozdíl od tohoto je při nucené konvekci proud vzduchu vyvolán větrem. Na ochlazování vodiče má tedy vliv průměrná rychlost větru, nárazovost větru, úhel mezi směrem větru a normálou k ose vodiče a výška vodiče nad terénem a jeho členitost.
Postup výpočtu součinitele přestupu tepla α (W·m-2·K-1) je poměrně náročný a jeho popis přesahuje rozsah tohoto příspěvku. Nicméně jeho znalost je klíčová pro výpočet odváděného tepelného výkonu konvekcí, pro který platí vztah:
Při výpočtu odvedeného výkonu konvekcí se uvažuje nadmořská výška 400 metrů nad mořem. Ve vztahu je použit vnější průměr vodiče D, protože se stejně v mezerách mezi slaňovanými dílčími vodiči vytvoří vrstva vzduchu, která se na tepelné výměně konvekcí nepodílí. Teplotu okolí stanovují národní normativní aspekty na +35°C.
4. Výkon odvedený radiací
Druhým a zároveň posledním výkonem ochlazující vodič je tepelný výkon odvedený radiací (někdy také nazýván sáláním). Tento výkon je určen známým vztahem:
- TAV – teplota vodiče (°C)
- Ta – teplota okolí (°C)
- D – průměr vodiče (m)
- σ – Stefanova-Boltzmannova konstanta (σ = 5,67∙10-8 W∙m-2∙K-4)
- ε – koeficient emisivity tepelného záření (-)
Velikost koeficientu ε je těžké přesně určit. Je závislý na povrchu vodiče, jež se v čase mění. Proto se velikost ε volí. Dle národních normativních aspektů normyČSN EN 50 341 se uvažuje ε = 0,5.
Výpočet proudové zatížitelnosti
Jestliže se počítá proudová zatížitelnost, jinak řečeno ampacita vedení, pro danou návrhovou teplotu vodiče, využívá se výše uvedených vzorců pro výpočet tepelných výkonů Ps, Pr a Pc.
Ustálený provozní proud se pak spočte následujícím vztahem:
Proudová zatížitelnost konkrétního vodiče pak závisí na jeho technických parametrech, maximální provozní teplotě vodiče a na tzv. hraničních klimatických podmínkách, které spolu vstupují do výpočtů jednotlivých tepelných výkonů. Hraniční klimatické podmínky jsou nejnepříznivější klimatické podmínky, jež mohou nastat, a na tyto podmínky je vhodné dimenzovat vodič.
Jedná se o maximální teplotu okolí, minimální rychlost větru a maximální intenzitu slunečního záření. Při těchto hraničních podmínkách nám vyjde maximální proud, jímž lze vodič zatěžovat. Návrh musí respektovat zejména požadavky dle ČSN EN 50 341 a NNA, resp. projektové specifikace, ale provozovatel vedení může následně proudovou zatížitelnost měnit na základě aktuálních provozních podmínek (na několika vedeních přenosové soustavy již probíhají meteorologická měření v reálném čase, která ovlivňují dispečerské řízení).
Proudová zatížitelnost se s měnícími klimatickými podmínkami mění následovně. Roste s rostoucí rychlostí větru působícího na vodič a naopak klesá s rostoucí teplotou okolí, s rostoucím úhlem působení větru (čím víc vítr fouká rovnoběžněji s vodičem tím hůř), s rostoucí intenzitou slunečního záření a s rostoucí nadmořskou výškou.
Zdroj úvodní fotografie: Transenergy
Mohlo by vás zajímat
5. duben 2015
24. duben 2015
11. duben 2015
13. květen 2017
19. duben 2015
26. listopad 2024
20. březen 2026
Komentáře (2)
Dobrý den,
článek je určitě zajímavý, ale myšlenky a rovnice určitě nejsou z hlavy autora článku. Proto by asi neuškodilo (pokud Vám něco říká autroská zákon tak víte, že by to zde být mělo) uvést zdroje, ze kterých bylo čerpáno.
Skvělé, že dokážete tak rychle odpovědět









Komentáře v diskuzi mohou pouze přihlášení uživatelé. Pokud ještě účet nemáte, je možné si jej vytvořit na stránce registrace. Pokud již účet máte, přihlaste se do něj níže.