3. duben 2015
Svět jaderných reaktorů: Předchůdci dnešních elektráren

Minulý díl byl zakončen popisem prvního komerčního jaderného reaktoru v Obninsku. Tento díl je věnován reaktorům, které jej následovali.
Reaktor v Obninsku byl tepelný. Ke štěpení tedy docházelo primárně tepelnými neutrony. Naprostá většina komerčních reaktorů, které byly postaveny po Obninsku, jsou také tepelné.
V posledních několika letech se objevuje více energetických rychlých (množivých) reaktorů, ale stále zastávají menšinu a dosahují nižších instalovaných výkonů, i když tomu tak nemusí být vždy. Filozofie množivých reaktorů je velmi lákavá, disponují totiž několika výhodami.
Princip množivých reaktorů
Množivé reaktory na rozdíl od klasických jaderných reaktorů nepoužívají moderátor pro zpomalování neutronů. Pravděpodobnost interakce s jádrem je tedy významně snížena. Proto musí v takovémto reaktoru, konkrétně jeho aktivní zóně, figurovat více zdrojů neutronů pro zajištění štěpné řetězové reakce.
Palivem bývá 235U nebo 239Pu obohacené na hodnotu 20-30 %.
Neutrony však mají mnohem vyšší energie a tepelný výkon na jednotku objemu dalece převyšuje tepelné reaktory (cca 10 krát více). Energii vzniklou v aktivní zóně je nutné odvádět. Protože voda ani plyn nemají dostatečnou tepelnou kapacitu, používá se jako chladivo roztavený kov, nejčastěji sodík. Teplota tavení sodíku je přibližně 98 °C a teplota varu přes 880 °C. Chladivo je udržováno v kapalném skupenství a díky výborným schopnostem odvádět teplo dokáže bezpečně dochladit reaktor i v režimu přirozené cirkulace (ochrana před blackoutem).
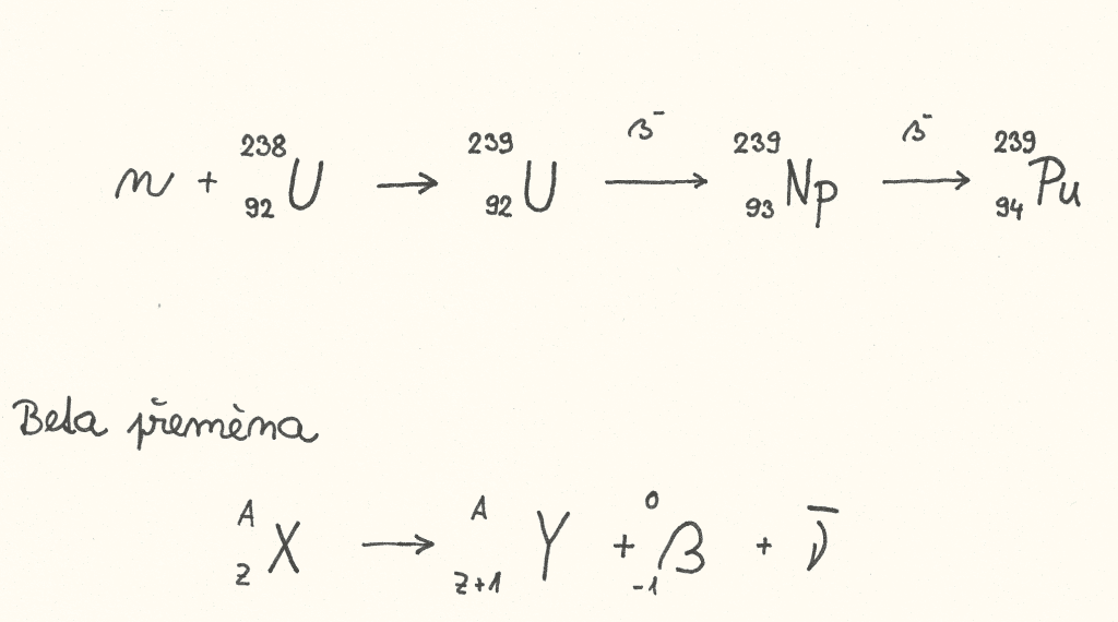
V aktivní zóně se nachází velké množství izotopu 238U, který se po absorpci neutronu mění na 239U, beta rozpadem na 239Np a opět beta rozpadem na štěpný izotop 239Pu, který slouží jako další palivo pro reaktor. Kolem aktivní zóny, v tzv. množivé zóně, jsou navíc umístěny další prvky, které se záchytem a následnou přeměnou mění na štěpný materiál (např. Thorium – 232Th). Jaderné elektrárny tohoto typu jsou z důvodu bezpečnosti tří-okruhové. Výhodou jsou také vysoké parametry vyráběné páry a tím vyšší účinnost cyklu.
Ilustrace znázorňuje záchyt neutronu na jádru uranu 238, čímž vznikne izotop 239U. Tento izotop je velice nestabilní a jeho poločas přeměny je 23,5 minuty. Negatronovou přeměnou beta se 239U mění na 239Np při současné emisi elektronu (beta záření). Izotop neptunia 239 má poločas přeměny 2,4 dne a opět beta přeměnou se mění na plutonium 239, které se využívá jako palivo pro jaderné reaktory. Pří beta přeměně dochází k transformaci původního jádra X na jádro nové Y s vyšším protonovým číslem Z a stejným nukleonovým číslem. Navíc je vyzářen elektron (záření beta) a antineutrino.
Jaderná elektrárna s možností produkce plutonia
V roce 1953 započala výstavba první velké komerční elektrárny s názvem Calder Hall u britské vesnice Sellafeld (dříve Windscale). Její připojení k síti proběhlo v roce 1956. Instalovaný elektrický výkon byl 60 MW a elektrárna do roku 1964 produkovala navíc plutonium pro zbrojní průmysl.
Na místě již dříve stála jaderná elektrárna Windscale Pile, která byla určena výhradně pro produkci plutonia. V roce 1957 zde došlo k jaderné havárii s tavením paliva.
Elektrárna Calder Hall disponovala celkem čtyřmi výrobními bloky typu MAGNOX. Celý komplex i s dříve odstaveným reaktorem Windscale Pile byl uzavřen až v roce 2003. První reaktorový blok elektrárny Calder Hall tedy vyráběl elektřinu téměř 47 let.
Magnoxové reaktory jsou specifické pro Velkou Británii a Japonsko. Fungují na přírodní (neobohacený) uran v kovové formě a často se využívaly pro výrobu plutonia. Moderátorem je zde grafit a jako chladivo slouží oxid uhličitý. Palivo umístěné v kanálech je možné měnit za provozu reaktoru při sníženém výkonu.
Přímý předchůdce reaktorů PWR
Dalším milníkem v oblasti jaderné energetiky byl rok 1957, kdy byla postavena první jaderná elektrárna s tlakovodním reaktorem. Elektrárna byla vybudovaná v USA pod jménem Shipping port a technologii přebírala z amerických válečných ponorek pohaněných tlakovodními reaktory (např. ponorka Nautilus). V podstatě se jednalo o první čistě energetický reaktor, který byl určen pouze pro výrobu elektrické energie.
Jednalo se o velmi specifický reaktor, jehož nádoba byla navržena tak, aby bylo možné upravovat aktivní zónu a testovat různé možnosti provozování.
První aktivní zóna obsahovala především přírodní uran v kovové formě a malé množství obohaceného uranu. Po sedmi letech proběhla úprava složení aktivní zóny a elektrický výkon bloku se tak zvýšil z 68 MW na 100 MW. Poslední aktivní zóna instalovaná v roce 1977 obsahovala štěpný 233U a množivou oblast složenou z štěpiteného izotopu 232Th. Při tomto složení se testovala produkce štěpného materiálu. Pokus byl úspěšný, neboť po pěti letech provozu se množství štěpného materiálu zvýšilo přibližně o 1,4 %. Blok byl roku 1982 vyřazen z provozu a rozebrán.
Začátek soukromých jaderných elektráren v USA
Americká jaderná elektrárna Dresden byla první elektrárnou, která byla financována čistě ze soukromých zdrojů bez pomoci státu. Navíc se jednalo o první komerční blok reaktoru typu BWR (Boiling water reactor). Její spuštění proběhlo v roce 1960. Elektrárna BWR je klasické tlakovodní elektrárně stavebně podobná. Stejně jako PWR má elektrárna kontejnment. Rozdíl je, že pára se vyrábí přímo v reaktoru. Systém je jedno-okruhový a pára jdoucí na turbínu je mírně radioaktivní. Jako palivo se používá uran obohacený na 2-3 % v keramické formě. Moderátorem i chladivem je lehká voda. Varné reaktory jsou v současnosti druhé nejoblíbenější na světě. První blok elektrárny Dresden měl elektrický výkon 210 MW. Byl odstaven po 18 letech provozu. Na tomto místě byly v letech 1970 a 1971 postaveny další dva jaderné bloky, které jsou provozovány dodnes.
Kanadský reaktor CANDU
Po druhé světové válce se i Kanada začala vážně zajímat o využití jádra jako energetického zdroje. Jaderné elektrárně Douglas point nejprve předcházelo několik experimentálních reaktorů stejného typu. Douglas point byl spuštěn v roce 1968. Jednalo se o typ CANDU, který je moderován i chlazen těžkou vodou. Toto řešení bylo zvoleno kvůli palivové soběstačnosti Kanady. Tento typ reaktoru totiž využívá přírodní uran ve formě oxidu.
Palivové tlakové kanály jsou zde umístěny horizontálně a umožňují výměnu paliva za provozu. Chladivo a moderátor jsou vzájemně odděleny. Elektrárna bývá klasicky dvou-okruhová. Instalovaný výkon Douglas Pointu činil 220 MW a blok byl v provozu až do roku 1984. Tento typ reaktor se kromě Kanady rozšířil i do Číny, Indie, Pákistánu, Rumunska, Argentin.
Jaderní pionýři v Československu
Národní historie jaderné energetiky se začal psát roku 1972, kdy byla spuštěna jaderná elektrárna v Jaslovských s názvem A1. Šlo o reaktor typu KS-150, který byl prvním a zároveň jediným typem svého druhu. Projekt byl navržen v bývalém SSSR a Československo bylo v té době vybráno, neboť disponovalo značnými zásobami uranu, který navíc umělo zpracovávat.
Celá elektrárna byla postavena československými firmami a pouze palivové soubory byly dodány ze SSSR.
KS-150 byl reaktor chlazený oxidem uhličitým a moderovaný těžkou vodou. Palivem byl přírodní uran. Instalovaný elektrický výkon bloku činil 144 MW, který produkovaly tři turbogenerátory (3×50 MW). Provoz elektrárny narušovaly časté problémy způsobené především netěsnostmi na palivu, parogenerátorech či neznalost obsluhy s provozem reaktoru tohoto typu. I přes to všechno to byla léta, kdy se zrodilo mnoho odborníků na jadernou energetiku v Československu, kteří významně pomohli při výstavbě a provozu novějších typů reaktorů.
K odstavení této jaderné elektrárny došlo již v roce 1977, po druhé havárii. Při první havárii došlo k úniku oxidu uhličitého, při výměně paliva (palivo bylo možné měnit za provozu reaktoru) z reaktoru, což mělo za následek úmrtí dvou zaměstnanců následkem otravy. Druhá havárie byla způsobena kuličkami silikagelu, které uvízly v palivovém souboru. Personál neprovedl dostatečnou kontrolu souboru po zjištění roztrženého sáčku silikagelu, následkem čehož nemohlo chladivo odvádět potřebné množství tepelné energie z proutků a došlo k lokálnímu přehřátí souboru.
Toto přehřátí vedlo až k natavení části palivové vsázky a kontaminaci nejen primárního, ale netěsnostmi na parogenerátorech i sekundárního okruhu. Havárie byla na stupnici INES ohodnocena stupněm 4, tedy havárie bez vnějšího vlivu na okolí. V Jaslovských Bohunicích byly následně postaveny 4 modernější reaktory typu VVER 440.
Úvodní fotografie: ENERGY.GOV
Mohlo by vás zajímat
5. duben 2015
24. duben 2015
11. duben 2015
13. květen 2017
19. duben 2015
21. duben 2015
26. listopad 2024








Komentáře v diskuzi mohou pouze přihlášení uživatelé. Pokud ještě účet nemáte, je možné si jej vytvořit na stránce registrace. Pokud již účet máte, přihlaste se do něj níže.